Blogs Evaluating Complex Functions Over Columns in Mathcad Prime: A Step-by-Step Guide

Evaluating Complex Functions Over Columns in Mathcad Prime: A Step-by-Step Guide

March 13, 2023 Get More Tips to Your Inbox

Vipul Trivedi is a Solution Consultant for PTC Mathcad Prime. He is proud of the innovation and creativity his work showcases, excelling in high-level design software like Mathcad Prime and Creo Parametric. Apart from his work, Vipul also enjoys extracurricular adventures. A lover of outdoor sports, he finds joy in the thrill of physical activities that complement his cerebral pursuits.

See All From This Author

Editor's note: This blog article was originally written as a PTC Mathcad Prime worksheet. For the best reading experience, please download the Mathcad Prime 9 worksheet here. If you need a Mathcad Prime worksheet viewer, download Mathcad Prime for free here.

In the world of mathematical modeling and analysis, the ability to efficiently evaluate complex functions over a set of inputs is crucial. While many are familiar with the approach of dragging formulas down in Excel, users of PTC Mathcad Prime can achieve similar functionality in a more structured and intuitive manner.

In this blog, I'll guide you through the process of defining a complex function and evaluating it over a column or vector of inputs in Mathcad Prime.

Understanding the basics

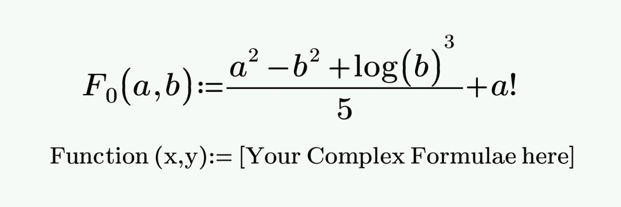
Step 1. Define your function

In Mathcad Prime, start by defining your function. Use the equation editor to input your mathematical expression. For example, let's consider an equation:

Defining a complex function in PTC Mathcad Prime with two input variables a and b

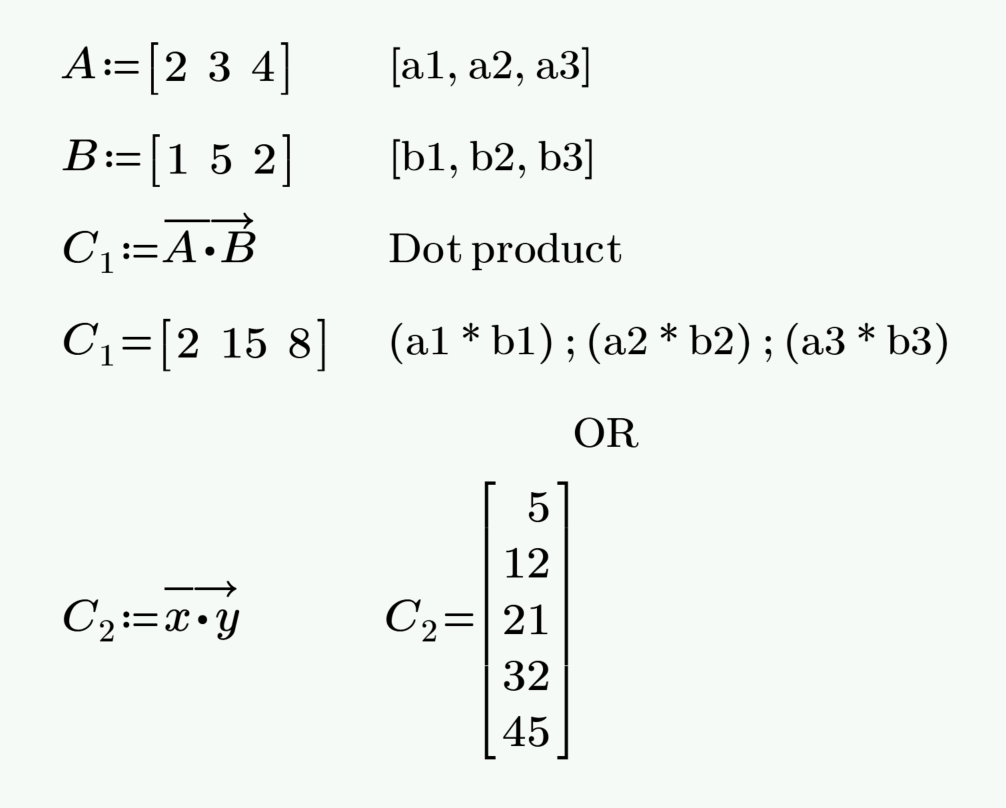
Step 2. Create a vector or column of inputs

Users need to create a vector or column containing the input values they want to evaluate a function for. Use the following syntax:

Two vectors of values, x and y

Evaluating functions over vectors

Send the vector as input

Now comes the crucial step – evaluating the complex function over the defined vector of inputs. Use the following syntax:

  • In Mathcad Prime, you can directly view the results by placing the vector x and y in your equation function. The computed values will be displayed alongside the corresponding input values.
  • Unlike Excel, where you drag formulas, in Mathcad Prime, you send the entire vector as input to the function. Simply replace the variable (in this case, a and b) with the vector you created (x and y). Mathcad will automatically apply the function to each element of the vector.

Mathcad vector values after function input values applied in Mathcad Prime

The outcome is a complex vector of function values, showcasing Mathcad Prime's proficiency in handling complex equations over vectors.

Special cases

Dot product

To multiply two columns/vectors, it's necessary to vectorize the equation to get the results:

using the vectorization operator over an equation to multiply two vectors for the dot product

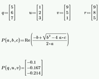
Cross product

Inputs are three-element column vectors. The direction of the cross product is orthogonal to u and v in the direction determined by the right-hand rule:

using the cross product operator for three-element column vectors

Note: Mathcad Prime will always by default do the theoretical maths for cross products and dot products.

Evaluating complex functions over columns or vectors of inputs in Mathcad Prime is a straightforward process that leverages the application's powerful mathematical environment.

Unlike Excel's drag-and-fill method, Mathcad Prime provides a clearer and math-centric way to deal with intricate equations and vectors. By defining your function and input vectors separately, you maintain clarity and precision in your mathematical expressions.

Whether you're a seasoned mathematician or a beginner in mathematical software, Mathcad Prime's intuitive syntax and robust capabilities make it an excellent choice for handling complex mathematical tasks.

So, the next time you need to evaluate an advanced mathematical function over a set of inputs, use the step-by-step guide provided here for seamless and precise calculations in Mathcad Prime.

Side-by-side examples in Mathcad Prime

side by side examples of evaluating complex functions over multi-column inputs between Mathcad Prime and Excel including trigonometry and logarithms

side by side examples of evaluating complex functions over multi-column inputs between Mathcad Prime and Excel, including the absolute value function

The most important advantage Mathcad Prime has over Excel in this use case is whenever any equation or formulae is edited, Mathcad Prime will automatically update the result for all the values. This is unlike Excel, where the user needs to drag the updated formula to the cells again to update it.

The use of the square root operator and abs function is typical in Mathcad Prime, but might require additional effort to implement in Excel, especially if Excel's built-in functions don't directly support symbolic calculations. Note that this doesn't make it impossible to replicate in Excel, but it adds complexity that might make it less straightforward for someone unfamiliar with symbolic computation or custom function creation in Excel.

This approach is more direct and intuitive than dragging formulas down in Excel since you explicitly define the vector or column and apply the function to it. In Mathcad Prime, the syntax and workflow are focused on mathematical notation and clear representation of calculations.

Quadratic equation

applying the quadratic equation to several values at once in Mathcad Prime

Calculating power with regards to force and velocity

calculating power with force and input values and plotting it in Mathcad Prime

Topics Math Software
Up Next

Subscribe to the Mathcad Minute newsletter for more tips.

Get more tips, tricks, and Mathcad news to your email inbox like this from the pros. Subscribe Here
Vipul Trivedi

Vipul Trivedi is a Solution Consultant for PTC Mathcad Prime. He is proud of the innovation and creativity his work showcases, excelling in high-level design software like Mathcad Prime and Creo Parametric. Apart from his work, Vipul also enjoys extracurricular adventures. A lover of outdoor sports, he finds joy in the thrill of physical activities that complement his cerebral pursuits.

Continue Reading